Bilimtarihi.org'un Logosu
Bilimtarihi.org'un logosu Pitagoras teoremini kanıtlamada kullanılan bir çizime karşı düşer.
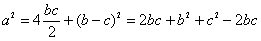
Eğer karenin kenar uzunluğu a alınır ve karenin her köşesinden karenin içine doğru, her bir kenarla

açısı yapan dört doğru çizilirse, bu doğrular karenin içinde birbirine eşdeğer dört üçgen ve bir dörtgen oluşturacak şekilde kesişir. Her bir kare köşesinde iki komşu üçgenin açısı yer alır ve bu açıların toplamı 90° olduğundan benzer üçgenler dik ve dörtgen de kare olma zorunluluğundadır. Eğer üçgenlerin uzun dik kenarları b, kısa dik kenarları c ile ifade edilirse, ortadaki karenin kenarı (b-c) olur.
Çizim gereği
(Büyük karenin alanı) = 4 ´ (Dik üçgen alanı) + (Kare alanı)
ilişkisi geçerlidir. Biğer bir deyişle

ya da her bir dik üçgen için geçerli

Pitagoras ifadesi yazılabilir.